可见光响应的C4N双功能空气电极用于太阳能的转换/存储
为了实现碳中和的目标,人们已经对储量丰富和清洁无污染的太阳能开展了大量的应用研究如太阳能电池等。但是太阳能的间歇性特征在一定程度上限制了其应用潜力。例如,太阳能电池在白天所产生的电能常常需要被预先存储在电化学能源器件中后再进行后续的使用。这类体系受限于相对复杂的结构、较高的生产成本以及不可避免的能量损失。为了实现太阳能的高效利用,将其直接引入到传统的电化学能量存储与转化器件(如空气电池)中可实现太阳能的直接转化和存储。这类高度集成能源体系的设计关键为多功能集成的光响应/能量存储电极。另外,降低电极中活性材料的带隙宽度能够更加有利于对太阳光的充分吸收。
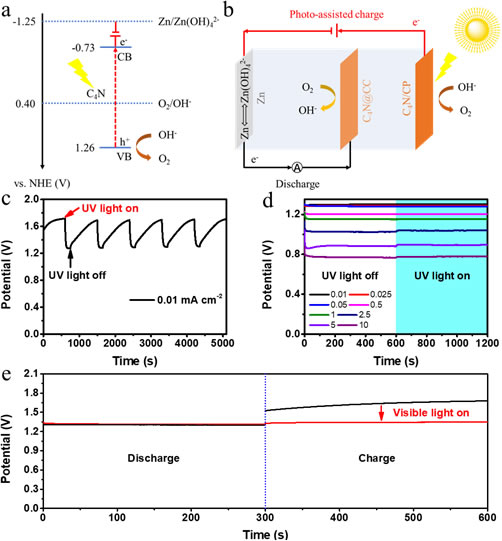
近日,William希尔陈旭东教授团队余丁山教授课题组合成了一种具有窄带隙的C4N聚合物并首次挖掘了其本征的双功能氧催化活性和可见光响应特性。通过利用C4N材料的窄带隙、合适的能带结构以及优化的电极结构,制备了具有三电极结构的可见光辅助的二次Zn-air电池和首例基于全聚合物的Polymer-air电池,实现了了电池充电性能的有效提升以及太阳能的直接转化和存储。例如,所构建的光辅助的二次Zn-air电池在可见光条件下,其充电电压仅为1.35 V,显著低于二次Zn-air电池的理论电压(1.65 V)。该电池还实现了高达97.78 %的充放电能量效率,优于传统的二次Zn-air电池(~ 60%)。此外,该研究中所设计的Polymer-air电池在可见光条件下,也实现了充电电压的降低(~ 0.22 V)。作者通过实验研究和理论计算揭示了C4N中的氧还原和氧析出反应活性位点以及光辅助氧析出反应的工作机理。该研究为无金属的有机半导体集成电极的研制和下一代新型光耦合电化学能源器件的发展提供了新的研究思路。
该研究成果发表在Angewandte Chemie International Edition上。余丁山教授课题组博士生方正松、硕士生李源并列为该论文第一作者。该工作得到了国家自然科学基金、国家重点研发计划课题、广东省扬帆计划的资助。
论文信息:
Capturing Visible Light in Low-bandgap C4N Derived Responsive Bifunctional Air Electrodes for Solar Energy Conversion/Storage
Angewandte Chemie International Edition, DOI: 10.1002/anie.202104790.

