张杰鹏JACS:周期性和非周期性柔性框架吸附分离CO
CO的分离和纯化对工业和环境都具有重要意义,目前主要依赖于化学吸附/吸收,但强化学结合导致脱附困难,其中的开放金属位点(Open Metal Site, OMS)也容易吸附其他非目标分子,从而对空气/氧气和水表现出较低的稳定性。
图1:(a) OMS具有空缺配位点;(b) qOMS的配位点被隐藏
考虑到能耗、选择性和稳定性等问题来自于OMS暴露的配位点,williamhill中国张杰鹏教授课题组提出了准开放金属位点(quasi-Open Metal Site, qOMS)概念(图1)。和OMS相比,qOMS可以利用选择性的结构转变识别目标分子并屏蔽非目标分子(Nat. Mater. 2024, 23, 116)。为证明qOMS概念,作者选择[Cu(detz)] (MAF-2, Hdetz = 3,5-diethyl-1,2,4-triazole)同系物作为多孔材料,通过改变配体侧基尺寸控制框架柔性,实现了开孔型(S形)等温线突变阈值压力的按需调控。X射线衍射证明MAF-2同系物中的Cu(I)在吸附CO前后分别采用三角形和四面体配位构型。在混合物吸附分离过程中,结构转变阈值压力较大的材料均表现出正常的CO泄露现象。但是,当阀值压力降低至0.01-0.02 bar时,CO泄露现象消失,可以通过一次吸附操作获得大量纯度为9N的产物(即CO浓度1 ppb)。该结果说明即使是典型的晶体到晶体(周期性)结构转变也存在少量非周期性。

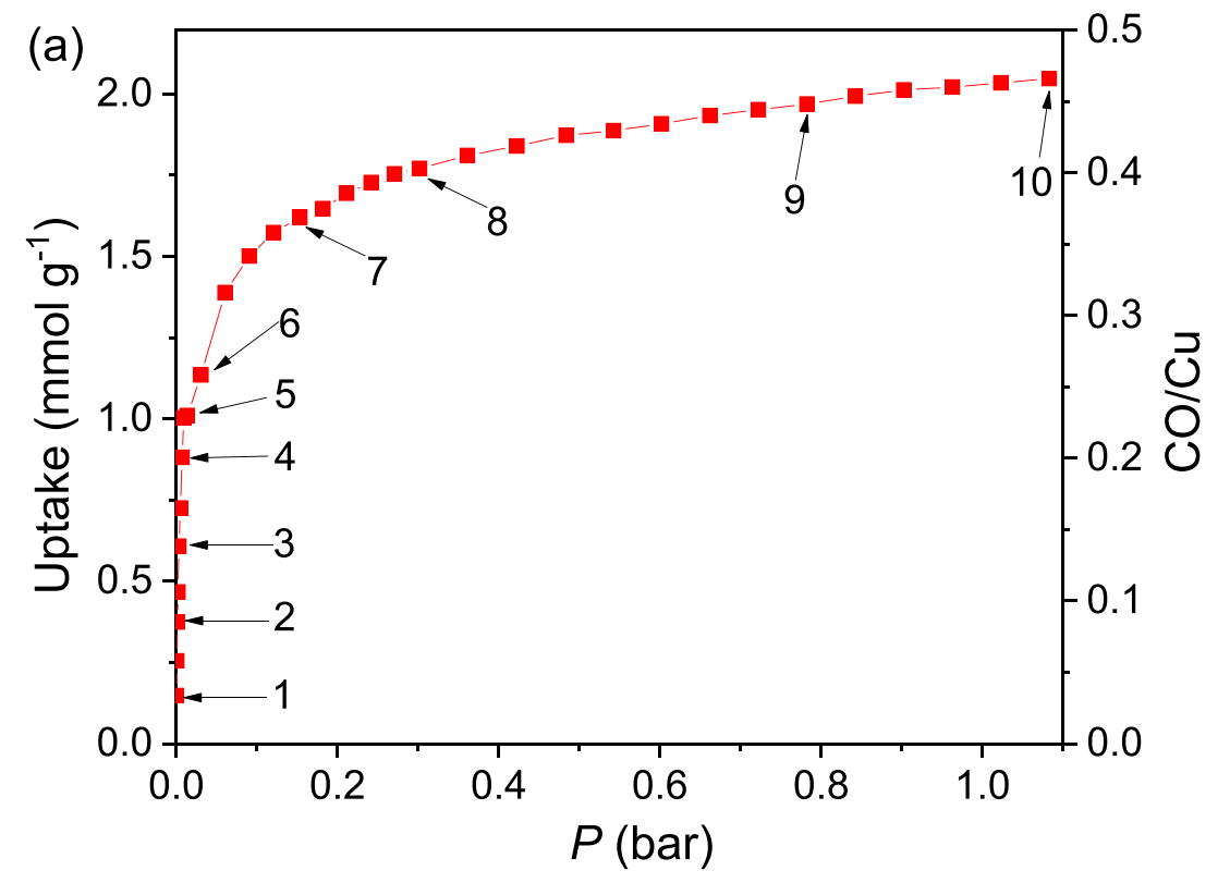
图2:MAF-2Fb的(a) 195 K CO吸附等温线及(b)原位PXRD图谱
MAF-2Fa是由部分氟代三氮唑配体构成的MAF-2同系物,表现出典型的周期性、开孔型CO化学吸附和泄露行为。考虑到MAF-2Fa成分简单,容易合成,还具有超高的疏水性和稳定性,该课题组继续深入研究该体系的合成与组装,并获得了一例超分子异构体MAF-2Fb。该材料也具有qOMS和CO化学吸附行为,但结构转变表现出很高的非周期性特征(图2)。虽然MAF-2Fb在分离高浓度CO混合物时表现出相对较低的性能,但在低CO浓度条件下分离纯化效果远高于其他吸附剂。而且,通过串联周期性柔性的MAF-2Fa和非周期性柔性的MAF-2Fb,可以实现优势互补,获得远高于单独MAF-2Fa或MAF-2Fb的分离性能(图3)。该工作还发现高湿度下H2O诱导的共吸附能够提高分离纯化性能,打破了共吸附不利于吸附分离的传统观念。例如,对1:99 CO/H2混合物,82%湿度下的CO和H2的纯化量可分别提升18%和13%。
图3:周期性和非周期性同分异构体的吸附分离行为示意图
该论文直观展现了多孔材料结构和柔性行为的多样性以及周期性和非周期性柔性行为对吸附分离的优势和劣势,还发现了共吸附行为的潜在优势,为发展新型多孔材料和吸附分离策略提供了理论基础和实验指导。
相关成果发表在J. Am. Chem. Soc.上,我院博士研究生王超和博士后张学文为该论文的共同第一作者,张杰鹏教授为通讯作者。该研究工作得到了国家自然科学基金、科学探索奖和陈小明院士的大力支持。
论文信息:Chao Wang, Xue-Wen Zhang, Xiao-Xian Chen, Wei-Xiong Zhang, Jie-Peng Zhang,* Isomeric Porous Cu(I) Triazolate Frameworks Showing Periodic and Aperiodic Flexibility for Efficient CO Separation, DOI: 10.1021/jacs.4c01539.
网页链接: https://pubs.acs.org/doi/10.1021/jacs.4c01539?ref=PDF

